Socso Contribution Rate Table 2020

Socso Contribution Table

Socso Contribution Table

New Update In Socso Table 2020 For Payroll System Malaysia

New Update In Socso Table 2020 For Payroll System Malaysia

Eis Malaysia Start Date

Eis Malaysia Start Date

How To Pay Socso Contribution

How To Pay Socso Contribution

Socso Table 2019 For Payroll Malaysia Smart Touch Technology

Socso Table 2019 For Payroll Malaysia Smart Touch Technology

How To Calculate Socso Contribution

How To Calculate Socso Contribution

How To Calculate Socso Contribution

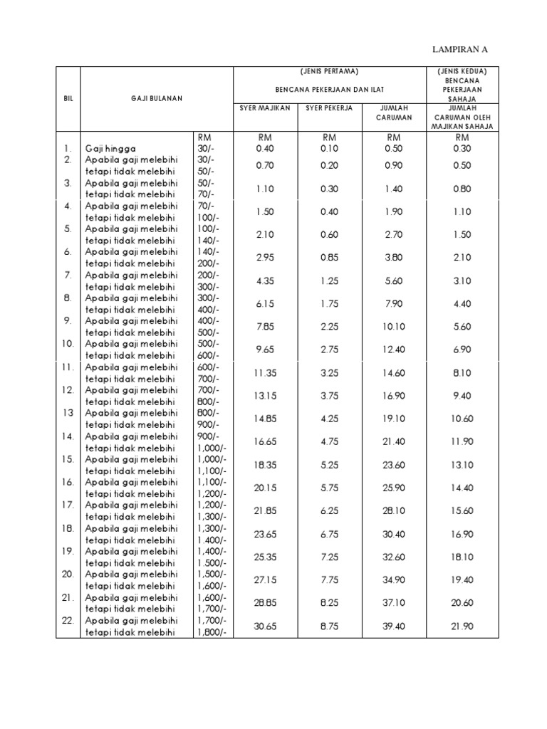
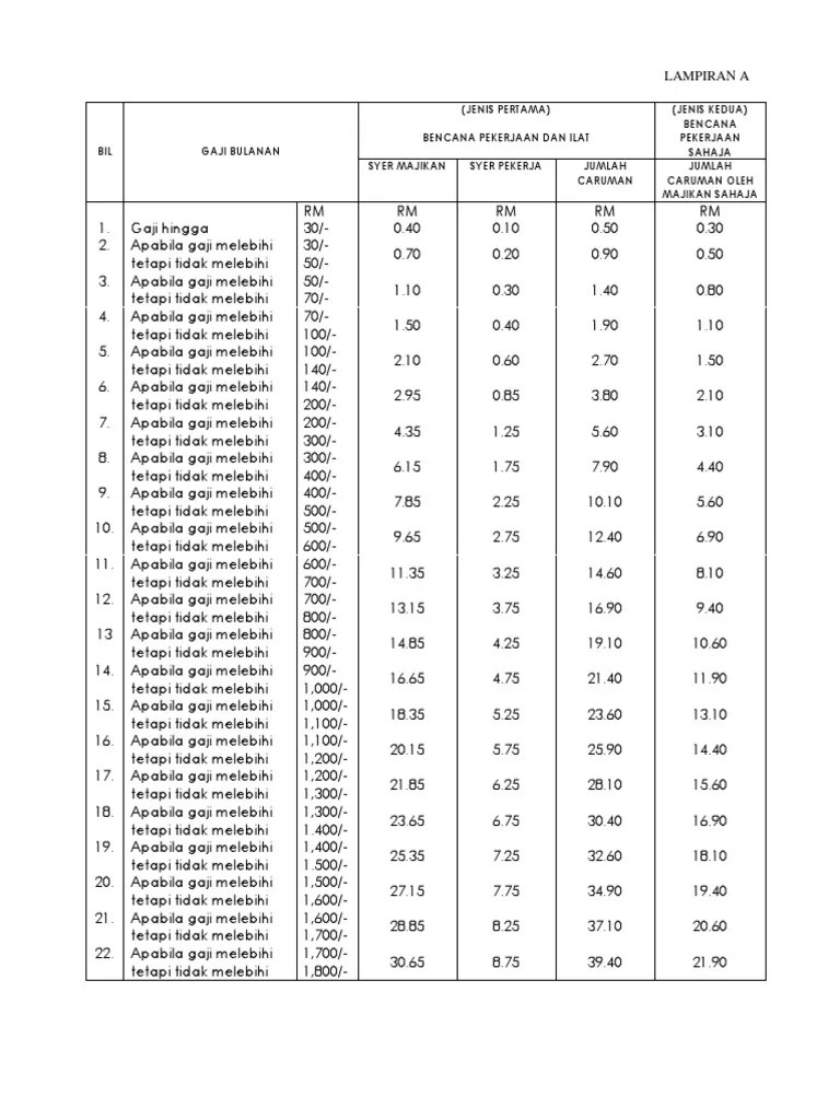
When wages exceed RM100 but not RM140.

Socso contribution rate table 2020. In the second category which is calculated at the rate of 125 of the total monthly salary employees are liable for only the Employment Injury Scheme under SOCSO. 02 will be paid by the employer while 02 will. The contribution rate is 125 of the Insured monthly wages and to be paid by the employer.

Rate s Contribution s to the Employment Insurance System EIS are set at 04 of the employees assumed monthly salary. Daftar akaun iPERKESO. Employment Insurance EIS contributions are set at 04 of an employees estimated monthly wage.

Refund of Socso Table 2020 Contributions. The company will pay 175 while the staffworkers will contribute 05 of their wages for the Employment Injury Insurance Scheme and the Invalidity Pension Scheme. A company is required to contribute SOCSO for its staffworkers according to the SOCSO Contribution Table Rates as determined by the Act.

Beginning on 1 January 2019 employers who hire foreign workers not including domestic servants shall register their employees with SOCSO and contribute to the Employment Injury under the Employees Social Security Act 1969 Act 4. What is the EIS Contribution Rate Employer. 6月1号开始- SOCSO 最新的KADAR CARUMAN SOCSO 最新的RATE OF CONTRIBUTIONS TABLE New contribution rate for monthly salary RM RM.

When wages exceed RM70 but not RM100. Please refer to the checklist and ensure that the required documents are completed. Types and Categories of SOCSO Contributions First Category Employment Injury Scheme And Invalidity Pension Scheme This is applicable for employees aged below 60.

Sementara itu jumlah kekosongan aktif yang direkodkan di portal MYFutureJobs sehingga hari ini adalah sebanyak 243711 kekosongan jawatan. Erraneous contribution payment schedule PKSK50A. When wages exceed RM30 but not RM50.

Socso Contribution Table

Socso Contribution Table

How To Calculate Socso Contribution

How To Calculate Socso Contribution

Eis Perkeso Eis Contribution Table Eis Table 2021

Eis Perkeso Eis Contribution Table Eis Table 2021

New Minimum Wage And Socso Requirements Donovan Ho

New Minimum Wage And Socso Requirements Donovan Ho

Tgupjhk5slo 7m

Tgupjhk5slo 7m

Socso Contribution Chart Table Rates

Socso Contribution Chart Table Rates

Socso Contribution Schedule Jadual Caruman Pdf

Socso Contribution Schedule Jadual Caruman Pdf

When How To Pay Socso Perkeso Nbc Com My

When How To Pay Socso Perkeso Nbc Com My

Malaysia Will Now Take Away 20 Of Foreign Worker Salaries But Why

Malaysia Will Now Take Away 20 Of Foreign Worker Salaries But Why

Employer Contribution Of Epf Socso And Eis In Malaysia

Employer Contribution Of Epf Socso And Eis In Malaysia

Employment Injury Scheme For Foreign Worker

Employment Injury Scheme For Foreign Worker

Source : pinterest.com