Ssl V Fourth Tranche Effectivity Date January 1 2023

Ssl V Fourth Tranche Effectivity Date January 1 2023

Ssl V Fourth Tranche Effectivity Date January 1 2023

Ssl V Fourth Tranche Effectivity Date January 1 2023

Approved Ssl V 2020 2023 Salary Grade Sg Table Infinithink Org

Approved Ssl V 2020 2023 Salary Grade Sg Table Infinithink Org

Higher Salary Ssl 2020 2023 Salary Grade Sg Table Pinoy Money Talk The Philippine Forum

Higher Salary Ssl 2020 2023 Salary Grade Sg Table Pinoy Money Talk The Philippine Forum

Salary Grade 2020 First Tranche Of Ssl 5 Newstogov

Salary Grade 2020 First Tranche Of Ssl 5 Newstogov

Approved Ssl V 2020 2023 Salary Grade Sg Table Infinithink Org

Approved Ssl V 2020 2023 Salary Grade Sg Table Infinithink Org

Approved Ssl V 2020 2023 Salary Grade Sg Table Infinithink Org

Level 20032020 01122020 01092021 01062022 01032023 01122023 V PS Officer 1 3065 3104 3150 3189 3237 3270 2 3359 3401 3452 3495 3547 3583 3 4408 4463 4530 4586 4655 4702 4 5457 5525 5608 5678 5763 5821 5 6296 6375 6470 6551 6649 6716.

Salary grade table 2023. Step 7 10270. Step 1 9675. For now here are the Highlights of the Tentative 2019-2023 PST Agreement.

2 base salary increase retroactive to April 2020. C82 - BU-61 Salary Schedule. 5712 the proposed date of effectivity or implementation of the Salary Standardization Law V or SSL V Fourth Tranche is on January 1 2023.

Employees ranked from Salary Grade SG 1 to 10 will receive a salary increase from 175 to 205 from 2020 until 2023. Step 8 9649. January 1 2021.

Step 1 9000. Step 6 10168. The Salary Grade 2020 Table is based from the House Bill 5712 and Senate Bill 1219.

President Rodrigo Roa Duterte signed a new law on January 8 2020 which seeks to SSL V Fourth Tranche Effectivity Date. The newest agreement the Victorian Public Sector Enterprise Agreement 2020 sets out salaries and salary increases until 30 June 2024. Those ranked SG 11 to 15 will receive the highest increase with their salaries growing by 20 to 30 over four years.

Step 8 10373. 1219 and House Bill No. 2016-2021 ASU OSU ISU and DMNA Salary Schedule.

Pin On Batasph Post

Pin On Batasph Post

Fourth Tranche 2023 Salary Standardization Law 5 Ssl 5 Salary Grade Table Schedule Philippines News Latest Update

Fourth Tranche 2023 Salary Standardization Law 5 Ssl 5 Salary Grade Table Schedule Philippines News Latest Update

Salary Grade 2019 For Government Employees

Salary Grade 2019 For Government Employees

Salary Grade 2019 For Government Employees

Salary Grade 2019 For Government Employees

Ssl V Second Tranche Effectivity Date January 1 2021

Ssl V Second Tranche Effectivity Date January 1 2021

Salary Grade 2020 First Tranche Of Ssl 5 Newstogov

Salary Grade 2020 First Tranche Of Ssl 5 Newstogov

Salary Grade 2019 For Government Employees

Salary Grade 2019 For Government Employees

Salary Grade 2019 For Government Employees

Salary Grade 2019 For Government Employees

Ssl 5 Table Salary Standardization Law V

Ssl 5 Table Salary Standardization Law V

Ibps Recruitment 2020 1500 Vacancies Salary 31 540 Any Gradua Recruitment Job Salary

Ibps Recruitment 2020 1500 Vacancies Salary 31 540 Any Gradua Recruitment Job Salary

Pin On Jobs

Pin On Jobs

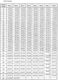
Third Tranche 2022 Salary Standardization Law 5 Ssl 5 Salary Grade Table Schedule Philippines News Latest Update

Third Tranche 2022 Salary Standardization Law 5 Ssl 5 Salary Grade Table Schedule Philippines News Latest Update

Pin On Sarkari Result

Pin On Sarkari Result

Second Tranche 2021 Salary Standardization Law 5 Ssl 5 Salary Grade Table Schedule Philippines News Latest Update

Second Tranche 2021 Salary Standardization Law 5 Ssl 5 Salary Grade Table Schedule Philippines News Latest Update

Source : pinterest.com