Trigonometry Table Pdf Class 12

Inverse Trigonometric Functions Class 12 Notes Maths Chapter 2 Learn Cbse Class12mathsnotes Inversetrigonom Trigonometric Functions Math Formula Chart Math

Inverse Trigonometric Functions Class 12 Notes Maths Chapter 2 Learn Cbse Class12mathsnotes Inversetrigonom Trigonometric Functions Math Formula Chart Math

Inverse Trigonometric Functions Class 12 Notes Maths Chapter 2 Learn Cbse Class12mathsnotes Inversetrigonom Trigonometric Functions Math Formula Chart Math

Inverse Trigonometric Functions Class 12 Notes Maths Chapter 2 Learn Cbse Class12mathsnotes Inversetrigonom Trigonometric Functions Math Formula Chart Math

Miraculous World Of Numbers 43 List Of Formulas 01 Grade 11 And 12 Trigonometry Math Formula Chart Math Formulas Maths Algebra Formulas

Miraculous World Of Numbers 43 List Of Formulas 01 Grade 11 And 12 Trigonometry Math Formula Chart Math Formulas Maths Algebra Formulas

Trig Identities Study Sheet Studying Math Math Quotes Trigonometry

Trig Identities Study Sheet Studying Math Math Quotes Trigonometry

Pin On Denis

Pin On Denis

Ncert Solutions For Class 12 Maths Chapter 5 Continuity And Differentiability Ex 5 1 Cbsetuts Com Https Www Cbsetuts Com Nce Class 12 Maths 12th Maths Math

Ncert Solutions For Class 12 Maths Chapter 5 Continuity And Differentiability Ex 5 1 Cbsetuts Com Https Www Cbsetuts Com Nce Class 12 Maths 12th Maths Math

Ncert Solutions For Class 12 Maths Chapter 5 Continuity And Differentiability Ex 5 1 Cbsetuts Com Https Www Cbsetuts Com Nce Class 12 Maths 12th Maths Math

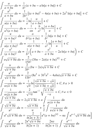
Trigonometry Formulas Table and List.

Trigonometry table pdf class 12. Trigonometry Handbook Table of Contents Page Description. A to Z Trigonometry Formulas table and identities list with PDF download. School and College Trigonometry classes.

0. Log table and anti-log table with the complete chapter of log for study. In trigonometry formulas we will learn all the basic formulas based on trigonometry ratios sincos tan and identities as per Class 10 11 and 12 syllabi.

Now to remember the Trigonometric table for 120 to 360 we just to need to remember sign of the functions in the four quadrant. Sine Cosine and Tangent Trigonometric Ratio. Trigonometry is one of those divisions in mathematics that helps in finding the angles and missing sides of a triangle with the help of trigonometric ratios.

Remembering the trigonometry table is simple if you know the trigonometry formulas. Also find the downloadable PDF of trigonometric formulas at BYJUS. NCERT Solutions for class 12 Maths Chapter 2 Inverse Trigonometric Functions in Hindi Medium and English Medium PDF file format to free download along with NCERT Solutions Apps updated for new academic session 2021-2022.

The copyright of. The angles are either measured in radians or degrees. Trigonometry Table Pdf Class 12.

In trigonometry class 12 we study trigonometry which finds its application in the field of astronomy engineering architectural design and physicsTrigonometry Formulas for class 12 contains all the essential trigonometric identities which can fetch some direct questions in competitive exams on the basis of formulae. Table form of formula chart. Learn Trigonometry Online At Your Own Pace.

Pin On Lessons

Pin On Lessons

Http Www Aplustopper Com Inverse Trigonometric Functions Trigonometric Functions Math Tutorials Math

Http Www Aplustopper Com Inverse Trigonometric Functions Trigonometric Functions Math Tutorials Math

Omtex Classes Trigonometric Table Math Fractions Worksheets Math Tutorials Algebra Formulas

Omtex Classes Trigonometric Table Math Fractions Worksheets Math Tutorials Algebra Formulas

Pin On Math

Pin On Math

Trigonometry Formulas For Class 11 Ncert Trigonometry Formulas For Class 11 Ppt Maths Formulas For Class 11 Pdf Math Formula Chart Math Quotes Trigonometry

Trigonometry Formulas For Class 11 Ncert Trigonometry Formulas For Class 11 Ppt Maths Formulas For Class 11 Pdf Math Formula Chart Math Quotes Trigonometry

Pin On Math Notes

Pin On Math Notes

Trigonometry Identities Mathletics Formulae And Laws Factsheet Free Download Available In Studying Math Learning Mathematics Mathematics Education

Trigonometry Identities Mathletics Formulae And Laws Factsheet Free Download Available In Studying Math Learning Mathematics Mathematics Education

Pin On Trigonometry

Pin On Trigonometry

Cbse Class 11 Maths Notes Trigonometric Important Formulas Examples Math Math Formulas Math Notes

Cbse Class 11 Maths Notes Trigonometric Important Formulas Examples Math Math Formulas Math Notes

12 Class Maths Notes Chapter 5 Continuity And Differentiability Free Pdf Quick Revision Continuity Math Formula Chart Class 12 Maths Formulas List Math Notes

12 Class Maths Notes Chapter 5 Continuity And Differentiability Free Pdf Quick Revision Continuity Math Formula Chart Class 12 Maths Formulas List Math Notes

Mykinglist Com Studying Math Math Quotes Learning Math

Mykinglist Com Studying Math Math Quotes Learning Math

Trigonometric Formulas Trigonometry Programming Tutorial Assembly Programming

Trigonometric Formulas Trigonometry Programming Tutorial Assembly Programming

Math Help Electronics And Electrical Engineering Tools Eeweb Trigonometry Math Reference Sheet Math Formulas

Math Help Electronics And Electrical Engineering Tools Eeweb Trigonometry Math Reference Sheet Math Formulas

Trig Identities Free Download Maths Algebra Formulas Math Formulas Studying Math

Trig Identities Free Download Maths Algebra Formulas Math Formulas Studying Math

Source : pinterest.com