Kadar Caruman Socso Contribution Table 2020

Socso Contribution Table

Socso Contribution Table

Socso Contribution Table

Socso Contribution Table

Kadar Caruman Socso Contribution Table 2020

Kadar Caruman Socso Contribution Table 2020

Socso Contribution Table

Socso Contribution Table

Socso Contribution Table Rates Jadual Caruman Socso Nbc Com My

Socso Contribution Table Rates Jadual Caruman Socso Nbc Com My

Socso Contribution Table Rates Jadual Caruman Socso Nbc Com My

Muat Turun Kadar Caruman.

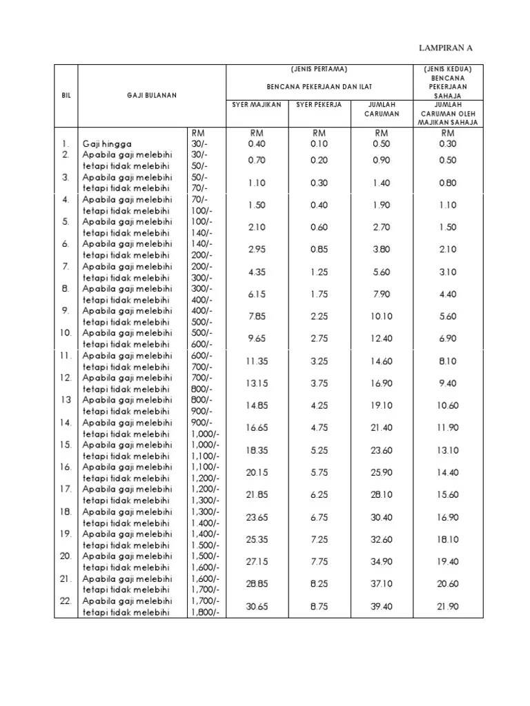
Kadar caruman socso contribution table 2020. Socso Contribution Table Rates Jadual Caruman Socso Cute766. Jadual Kadar Caruman Kwsp 2020 Terkini Spa. When wages exceed RM50 but not exceed RM70.

Wajib Tahu Cara Pengiraan Sebenar Epf Socso Supaya Tak Ditipu Oleh Majikan. 50 sen RM140 to RM200. There is often much confusion around the exact amount to be paid by the employer.

Jadual Caruman Perkeso 2017 Pdf. When wages exceed RM70 but not exceed RM100. Cara Pengiraan Kadar Caruman Kwsp Socso 2019.

Tax consultation is not available at the moment. EMPLOYEE CONTRIBUTION CARUMAN PEKERJA EMPLOYER CONTRIBUTION CARUMAN MAJIKAN TOTAL CONTRIBUTION JUMLAH CARUMAN Up to RM30. Socso Contribution Table Rates Jadual Caruman Socso Cute766.

A company is required to contribute SOCSO for its staffworkers according to the SOCSO Contribution Table Rates as determined by the Act. 6月1号开始 - SOCSO 最新的 KADAR CARUMAN SOCSO 最新的 RATE OF CONTRIBUTIONS TABLE New contribution rate for monthly salary RM3000RM4000 请大家参考来自 SOCSO 官方网站的最新的 RATE OF CONTRIBUTIONS TABLE. Kadar Caruman Sip Jadual Eis Perkeso Untuk Gaji Rm1750.

Kumpulan Wang Simpanan Pekerja KWSP melanjutkan tarikh untuk majikan membuat bayaran caruman wajib bagi gaji bulan Mac pekerja mereka iaitu caruman pada April 2020. In simple terms there are two categories of the socso fund. Caruman Bulanan Jadual Kadar Caruman Kwsp 2020 Pdf.

Socso Contribution Table

Socso Contribution Table

Kadar Caruman Socso Contribution Table 2020

Kadar Caruman Socso Contribution Table 2020

How To Pay Socso Contribution

How To Pay Socso Contribution

Socso Contribution Table

Socso Contribution Table

Kadar Caruman Socso Contribution Table 2020

Kadar Caruman Socso Contribution Table 2020

Eis Perkeso Eis Contribution Table Eis Table 2021

Eis Perkeso Eis Contribution Table Eis Table 2021

Kadar Caruman Socso Contribution Table 2020

Kadar Caruman Socso Contribution Table 2020

How To Calculate Epf And Socso Contribution

How To Calculate Epf And Socso Contribution

How To Calculate Socso For Salary

How To Calculate Socso For Salary

What Is Eis Perkeso

What Is Eis Perkeso

Socso Table 2018

Socso Table 2018

How To Calculate Epf And Socso Contribution

How To Calculate Epf And Socso Contribution

Kwsp Table Shefalitayal

Kwsp Table Shefalitayal

Jadual Caruman Perkeso 2018 Muat Turun Jadual Caruman Perkeso My Quotes A Apa Itu Caruman Perkeso Dan Apakah Faedahnya

Jadual Caruman Perkeso 2018 Muat Turun Jadual Caruman Perkeso My Quotes A Apa Itu Caruman Perkeso Dan Apakah Faedahnya

Source : pinterest.com